こんにちは、四谷学院の水流です。
よく質問で「共通テストに対応できるかどうか不安です。」と聞かれます。
正しい手順で勉強したら大丈夫であることをお伝えしたいと思います。
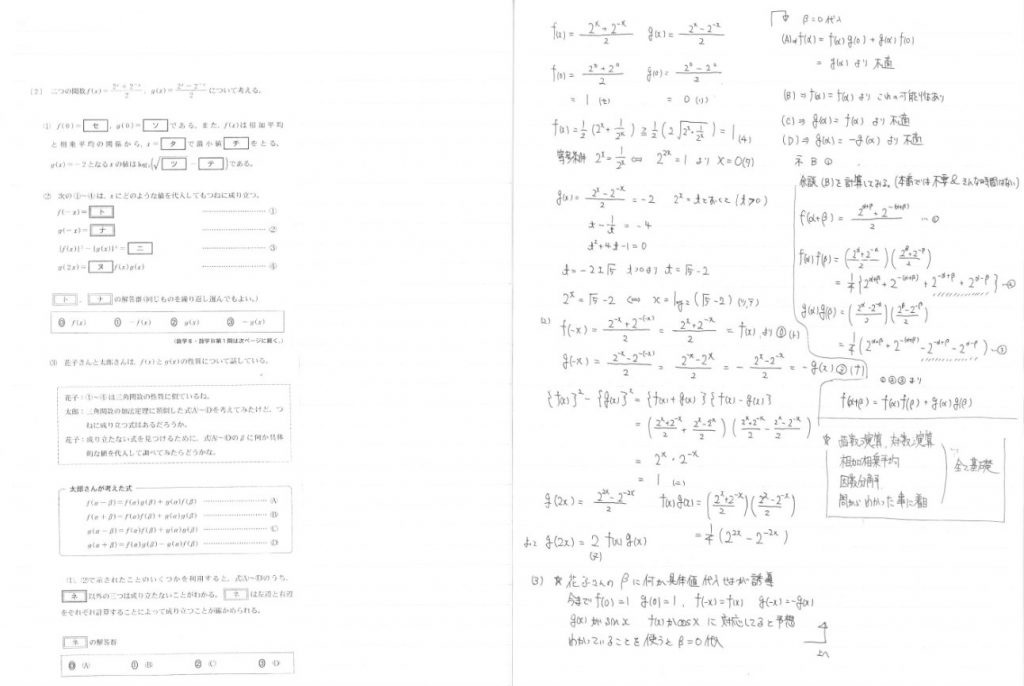
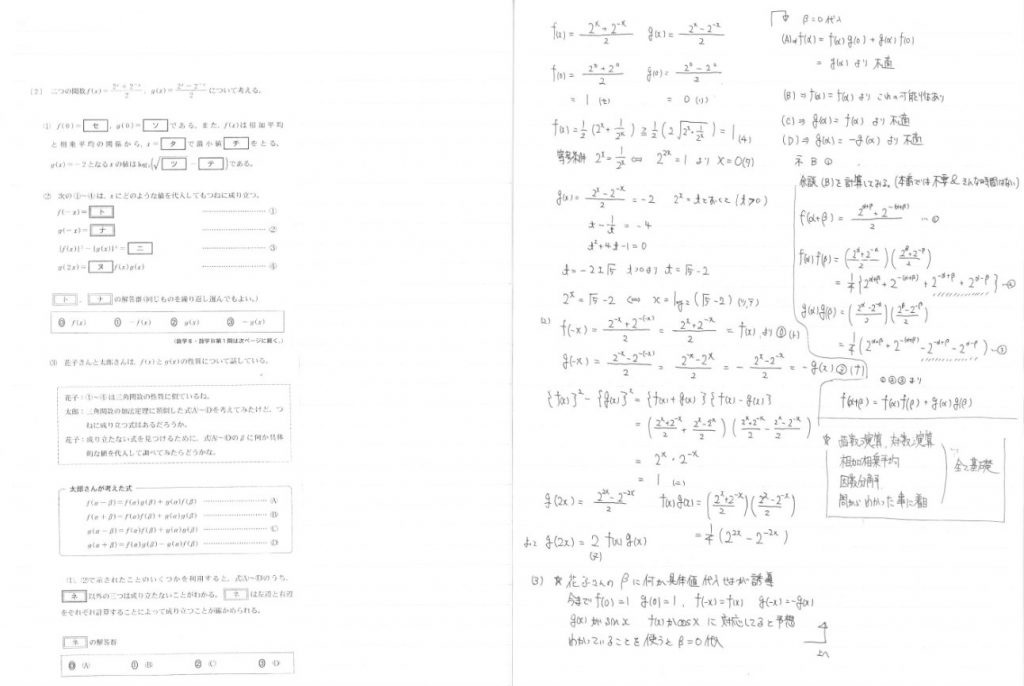
共通テストの問題を見てみよう
※クリックすると大きくなります
これは21年度入試の共通テスト数学ⅡBの一部を解いたものになります。
全て基礎知識です。
じっくりと見ていただくと(見なくても?)お分かりになるかもしれませんね。
「正しい手順で勉強したら大丈夫」とはそういうことです。
受験にとって重要なこと
四谷学院では基礎知識をすべて確認し直します。
わからない知識があるところは基礎から徹底的に学び直します。55段階個別指導で者、なんと、中学レベルの基礎から東大レベルまで学べる環境が整っているんです。
「直接過去問とか入試問題レベルを勉強した方が早いでしょ?」
と思う方もいるかもしれませんね。
でも、この共通テストを見ていただければいかに基礎が大事かということがお分かりになると思います。
加速度的に勉強を進めるには?
結局、入試レベルの問題に取り組んでも基礎につまづくのであれば、先に基礎を整えておいた方がずっと近道です。
「できる」「ここもできる」「あ、ここだめだ」「ここはできる」・・・
そういう風に進めていけるので、達成感を味わいつつ前に前に進んでいけます。
「加速度的に勉強が進んだ」と表現してくれた生徒もいました。
あなたが行きたい大学に合格するためのプランをプロの受験コンサルタントがあなたの状況を聞き取った上でアドバイスをします。
無料で学習相談会を実施していますので、お気軽にお近くの四谷学院までお問合せください。








