こんにちは、四谷学院の水流です。
よく質問があるのが「共通テストに対応できるかどうか不安です。」と聞かれるので、正しい手順で勉強したら大丈夫であることをお伝えしたいと思います。
ちなみに数ⅡBについてはこちらの記事で!

【数学】共通テストは怖くない!数学ⅡB編
こんにちは、四谷学院の水流です。 よく質問で「共通テストに対応できるかどうか不安です。」と聞かれます。 正しい手順で勉強したら大丈夫であることをお伝えしたいと思...
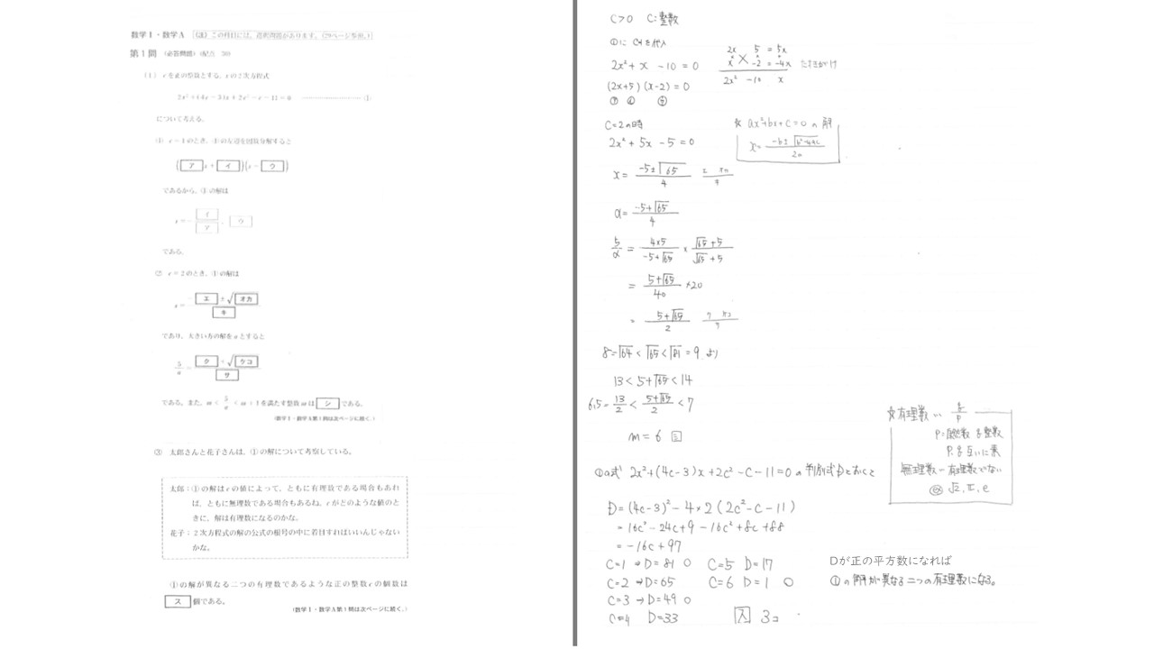
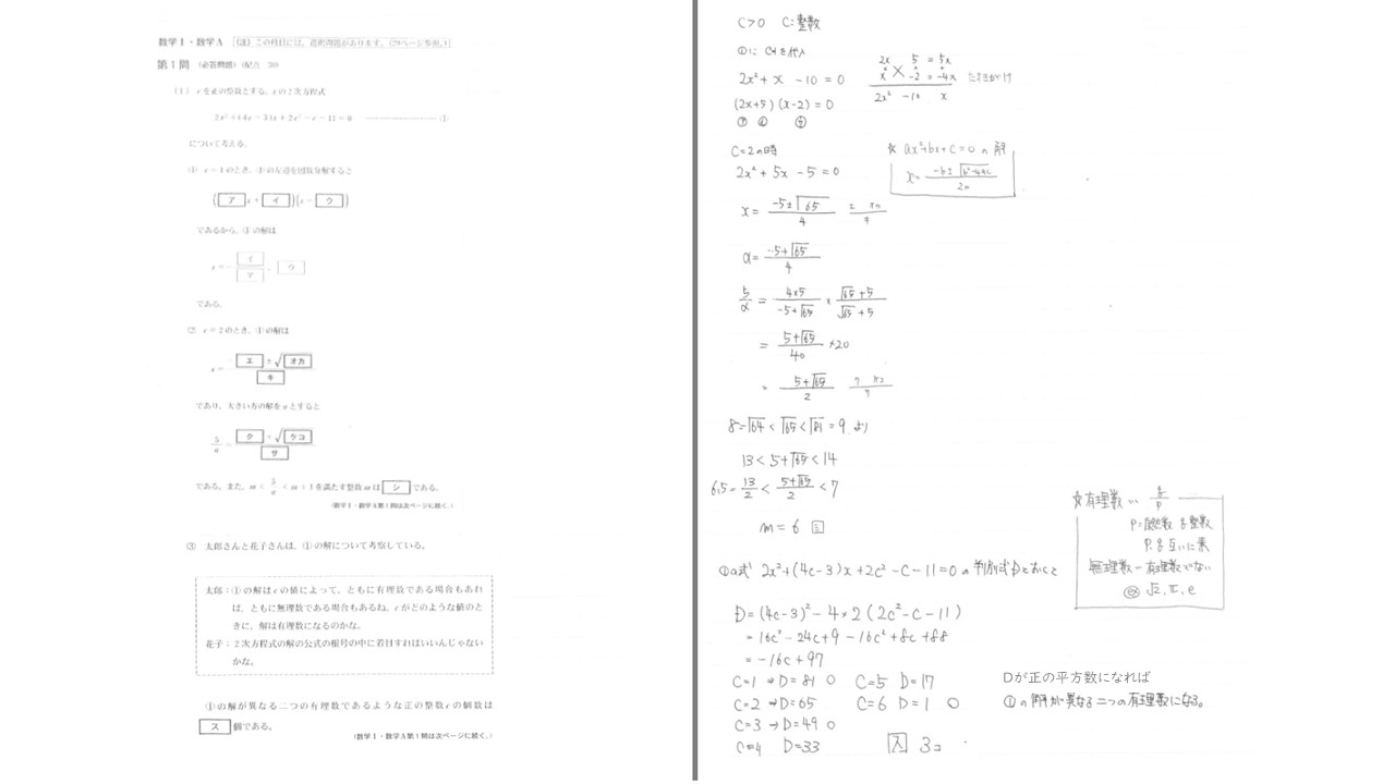
共通問題を見てみよう
※クリックすると大きくなります
これは21年度入試の共通テスト数学ⅠAの一部を解いたものになります。
全て基礎知識です。
じっくりと見ていただくと(見なくても?)きっとお分かりになるかもしれませんね。
「正しい手順で勉強したら大丈夫」とは「基礎が分かれば解ける」ということなんです。
ですから、わからない知識があるところは基礎から徹底しましょう。
「基礎が大事」と耳にタコができる位に言われていると思います。
それでもなぜか、受験生は入試問題をやりたがります。その気持ちはとてもよくわかります。
基礎問題をは地道だし、自分一人で取り組むと、できたことにして済ませてしまったり・・・しませんか?
共通問題を確認してもやはり基礎がわかっていることが重要という事実は揺るぎません。
だから、四谷学院では基礎知識をすべて確認しなおした上で、その先に進みます。2次対策ももちろんの事共通テスト対策をしっかりできるのはそういう理由です。
四谷学院では中学レベルの基礎から東大レベルまで学べる環境が整っています。
無料で学習相談会を実施していますので、お気軽にお近くの四谷学院までお問合せください。学習システムについてもきちんと解説いたします!









